建設特定技能外国人の給料はいくらにすればよいか 行政書士葛飾江戸川総合法務事務所 | ブログで紹介されている内容が弊所の取扱い業務です

建設特定技能外国人の給料はいくらにすればよいか 行政書士葛飾江戸川総合法務事務所

ブログ

建設特定技能外国人の給料はいくらにすればよいか 行政書士葛飾江戸川総合法務事務所

2023/12/20

2025年10月19日最終更新

建設特定技能外国人の給料はいくらにすればよいか

お世話になっております。
行政書士葛飾江戸川総合法務事務所の糠信 一善(ぬかのぶ かずよし)です。
本日は、
建設特定技能外国人の給料はいくらにすればよいか
ということについて紹介していきます。

特定技能外国人の給料の金額ですね…。
確か…、日本人と同じ位でないといけないんでしたっけ…?

仰る通りですね。
特定技能外国人の給料は比較される同等技能を持つ日本人の給料と同額以上にする必要があります。
とはいえ…、必要以上に特定技能外国人の給料を上げると逆差別みたいになり、
「外国人ばかり優遇している。」
となりますので、平等の意味も込めて同等の技能であれば日本人も特定技能外国人の給料を同額にしている企業が多いです。

さらに、建設分野については、令和4年3月28日に国土交通省から給料に関する通知が出て、令和4年6月1日以降の申請からそれが適用されています。
以下に原文を掲載いたします。

2025年10月19日現在改定は行われていません。

令和4年3月28日に出された、国土交通省の通知…、ですか…?
赤い枠で囲ってあるところが大切なのでしょうが、何だか書いてあることが読みにくいです…。

そうですね…。
初めて見る方は、文字だらけで読みにくいと思いますね…。

ここでは、
・最低賃金
・1.1の数字

に注目してみましょう。

そして、この資料の2ページ目もご覧ください。
※印のところがとても大切です。
支払われる給料が、手当など、どこまで含んでの内容なのかが記載
されています。
ここを確認しないと、正確な理解ができませんので確認していきます。

これもなかなか…、難しいことが書かれていますね。
※1が申請外国人の給料
※2が比較される日本人従業員の給料

ということですよね…?

そうなんです。
仰る通りです。

※1の申請人外国人の給料ですが、
賃金、給料、手当、時間外勤務手当、賞与その他名称の如何を問わず、労働の対償として支払われるすべての金銭(報酬額)
をいいます。
つまり、申請人の外国人の報酬額が、比較される日本人の報酬額と比べて、正当かつ合理的な理由なく低くなっているときその他不当に差別的なものとなっていると認められるときは認定されません

※2の比較される日本人従業員の給料ですが、
賃金、給料、安定的に支給される手当などは含まれますが、時間外労働や支給が未確定な手当は除く(所定内賃金)
ものとされています。
つまり、報酬額の比較だけでなく、比較される日本人の所定内賃金が、事業所等が存する地域に係る地域別最低賃金と地域別最低賃金の全国加重平均のどちらにも1.1をかけた金額より低い時は、職員の適切な処遇、適切な労働条件を提示した労働者の募集その他の国内人材確保の取り組みを行っているとは認められず、認定されません

全国加重平均とは

先ほど、最低賃金と1.1に注目ということでした。

そしてその最低賃金には、
・当該日本人の建設技能者が所属する事業所等が存する地域に係る地域別最低賃金
・地域別最低賃金の全国加重平均

という2つの表現が出てきました。
この…、地域別最低賃金の全国加重平均って何でしょうか…?
どうやって知るんですか…?

そうですね。
地域別最低賃金の全国加重平均なんて普段聞かない言葉ですよね。

地域別最低賃金の全国加重平均とは、全国の最低賃金を都道府県ごとの労働者数で重み付けして平均した額のことです。
調べ方ですが、
『2025年 地域別最低賃金 全国加重平均』
とか、別のワードでもいいのですが、入力して検索すると、金額が出てきます。

地域別最低賃金と全国加重平均のどちらも下回ってはいけない

なるほど…。
これが全国加重平均なのですね。

ということは…、特定技能の外国人と、特定技能の外国人と比較される日本人の給料が、
・当該日本人の建設技能者が所属する事業所等が存する地域に係る地域別最低賃金
・地域別最低賃金の全国加重平均
に1.1をかけた金額を下回ってしまったら、国土交通省の認定が下りない
、という認識で間違いないでしょうか…?

はい。
仰る通りです。

地域別最低賃金に1.1を乗じた金額『又は』全国加重平均に1.1を乗じた金額を下回っているときは、認定してはならない
と、とてもわかりにくい表現方法が使われていますが、
地域別最低賃金に1.1を乗じた金額と全国加重平均に1.1を乗じた金額『どちらも』下回ってはいけない
ということになります。
ここは正しい理解をしておかないと、判断を誤るなど、後々大変になります。

ホントですね…。
とてもわかりにくい表現ですね…。

建設特定技能外国人とその比較される日本人の給料は、
地域別最低賃金に1.1を乗じた金額と全国加重平均に1.1を乗じた金額『どちらも』下回ってはいけない

というのが正しい理解ということですね。

全国の最低賃金の調べ方

そうなんです。
難しい表現なので間違えないようにしないと、ですね。

次は全国の最低賃金の調べ方です。
検索例を紹介いたします。
例えば、
『厚生労働省 最低賃金』
と検索しますと、全国の地域別最低賃金を簡単に知る
ことができます。
参考にした厚生労働省のサイトへ飛ぶ黄色いボタンも用意いたしましたので、よろしければご確認ください。

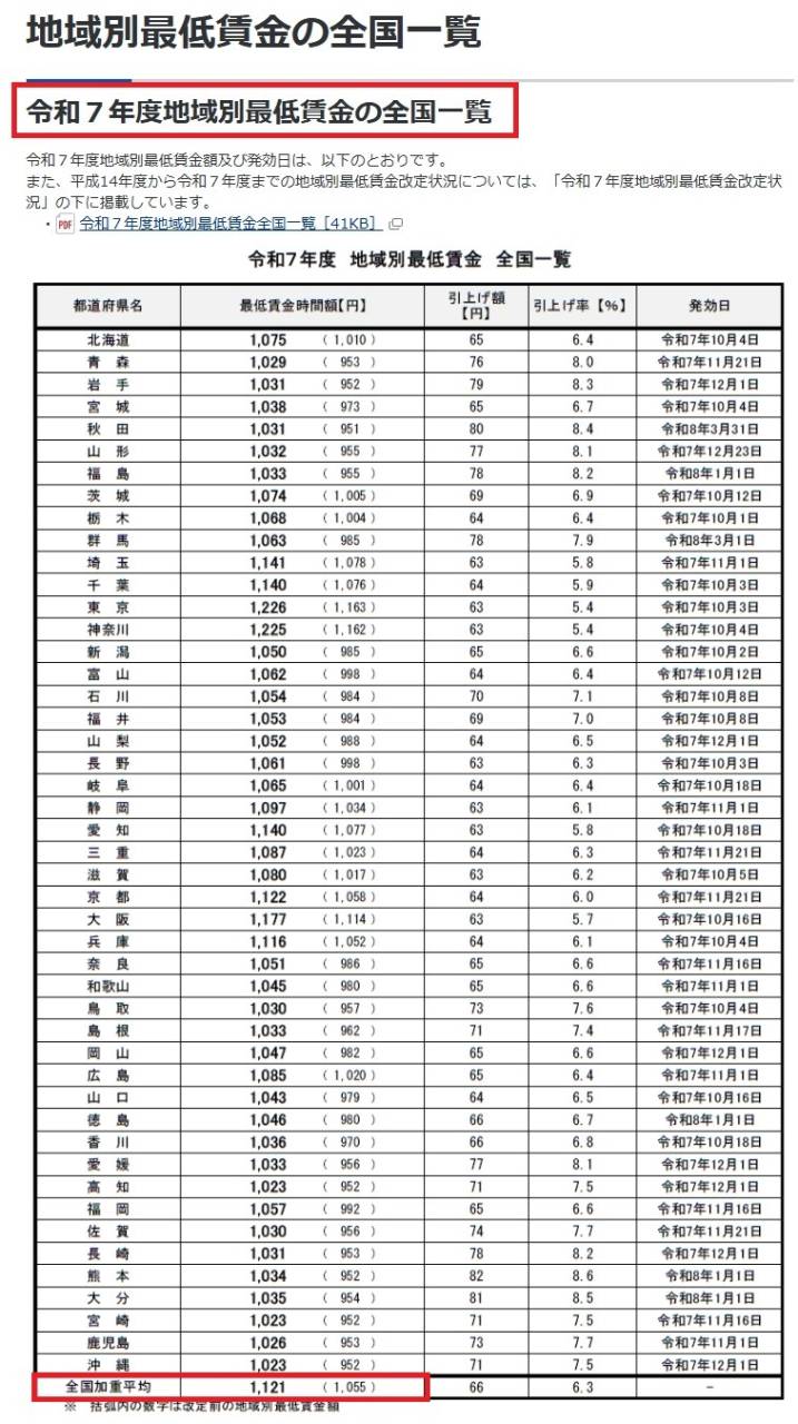
この表の一番下にも全国加重平均の金額が表示されていますので、建設特定技能外国人の給料を決める際は、是非参考にしてみてください。

茨城県での例

ふむふむ…。
調べればこんな感じで最低賃金を知ることができるのですね。
全国加重平均の意味を知っている場合は、こちらのサイトに入れば、
地域別最低賃金と最低賃金のどちらも知ることができますね。

例えば、茨城県は1,074円ですが、この場合はどうなるのでしょうか…?

茨城県の場合ですね。
一緒に見ていきましょう。

まず茨城県の最低賃金が1,074円になっています。
そして、一番下に記載されている全国加重平均が1,121円になっています。
従って、茨城県の最低賃金1,074円は、全国加重平均1,121円より下回っていますので、この場合は全国加重平均の1,121円の金額を使います

そうですね。
この前提を間違えると、金額が変わってしまうので、注意しないと、ですね。

では、茨城県の最低賃金は全国加重平均よりも低い金額なので、全国加重平均の1,121円に1.1をかけた金額を使うことになるのですね。

そういうことですね。
では、実際に1.1をかけてみましょう。
1,121円 × 1.1 = 1,233.1円
と、念のため少数第1位を繰り上げて、基準額を1,234円
にいたします。

ということは…、全国加重平均で求める場合は、建設特定技能外国人と比較される日本人の時給換算の給料は1,234円を下回ってはいけないことになりますね。

その通りです。
良い感じです。
したがって、建設特定技能外国人の給料は月給で支給しなければならないので、月給を定め、労働時間数で割った金額が1,234円以上でないと、茨城県では国土交通省の認定が下りないことになります。

もし…、『雇用条件書に記載されている1か月の所定労働時間』が180時間だった場合は、
1,234円 × 180時間 = 222,120円
と、茨城県では建設特定技能外国人の報酬と比較される日本人の報酬を222,120円以上にすれば、国内人材確保のために適切な労働条件を提示した上での特定技能雇用契約の締結となり、認定基準に達する、ということですね。

その通りです。
その計算になります。
そして、その日本人の給料と同等か同等以上の給料を建設特定技能の外国人に設定すれば、国土交通省の認定条件を満たすことになります
きちんと建設特定技能外国人の給料を計算し、国土交通省の認定をクリアしましょう。

もし…、
「建設特定技能における雇用契約書や雇用条件書の作成方法を確認してみたい。」
と思われた方は下のボタンを押してくださいませ。

当店でご利用いただける電子決済のご案内

下記よりお選びいただけます。